Moi
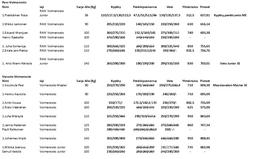
Ohessa videomateriaalia RAW-nostajien kovista suorituksista. Kokeneemmat nostajat tekivät tasaisen varmaa tulostasoa. Juha Somerojan sekä Jani-Pekka Eiralan välillä käytiin jännittävä kaksinkamppailu alle 110kg herruudesta. Nuoret juniorinostajat olivat huippu iskussaan. Pietikäinen Rosa teki huikeat ME-tulokset kyykyssä, penkissä sekä vedossa sekä Arto Niemi-Nikkola pisti uusiksi nuorten SE:n maastavedossa.
